Computer Science/자료구조
[자료구조] 이진 트리 (Binary Tree)
Sky Titan
2020. 9. 8. 10:44
728x90
이진 트리 (Binary Tree)
- 모든 노드의 차수가 2 이하인 트리
이진 트리 종류
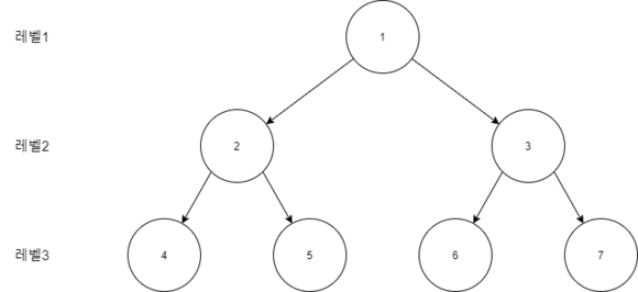
1. 포화 이진 트리 (Full Binary Tree)
- 모든 레벨의 노드가 꽉 차있는 이진 트리
- n = 2 ^ h - 1 ( 높이가 h 인 이진 포화 트리의 노드 개수)

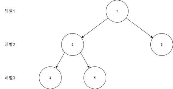
2. 완전 이진 트리 (Complete Binary Tree)
- 높이가 h 일 때, 레벨1 ~ 레벨 h-1까지는 포화 이진트리처럼 꽉 채워져 있고 마지막 레벨 h(단말 노드) 에서는 중간에 빈 노드 없이 노드가 왼쪽부터 차례로 채워져 있어야함.
- n < 2 ^ h - 1 (높이가 h인 완전 이진 트리의 노드 개수)


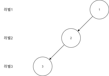
3. 편향 이진 트리 (Skewed Binary Tree)
- 같은 높이의 이진 트리 중에서 최소 개수의 노드 개수를 가지면서 왼쪽 혹은 오른쪽 서브트리만을 가지는 이진트리


배열을 이용한 이진 트리 구현
- 노드 i의 부모 노드 : floor(i/2)
- 노드 i의 왼쪽 자식 노드 : i * 2
- 노드 i의 오른쪽 자식 노드 : i * 2 + 1

728x90